Book: Introduction to Linear Algebra, Johnson et al. Third Edition
Gaussian Elimination is a method in linear algebra used to solve systems of linear equations.
It systematically transforms a system of equations into a simpler form so the solutions become easy to find.
It works by manipulating the augmented matrix of the system using basic row operations.
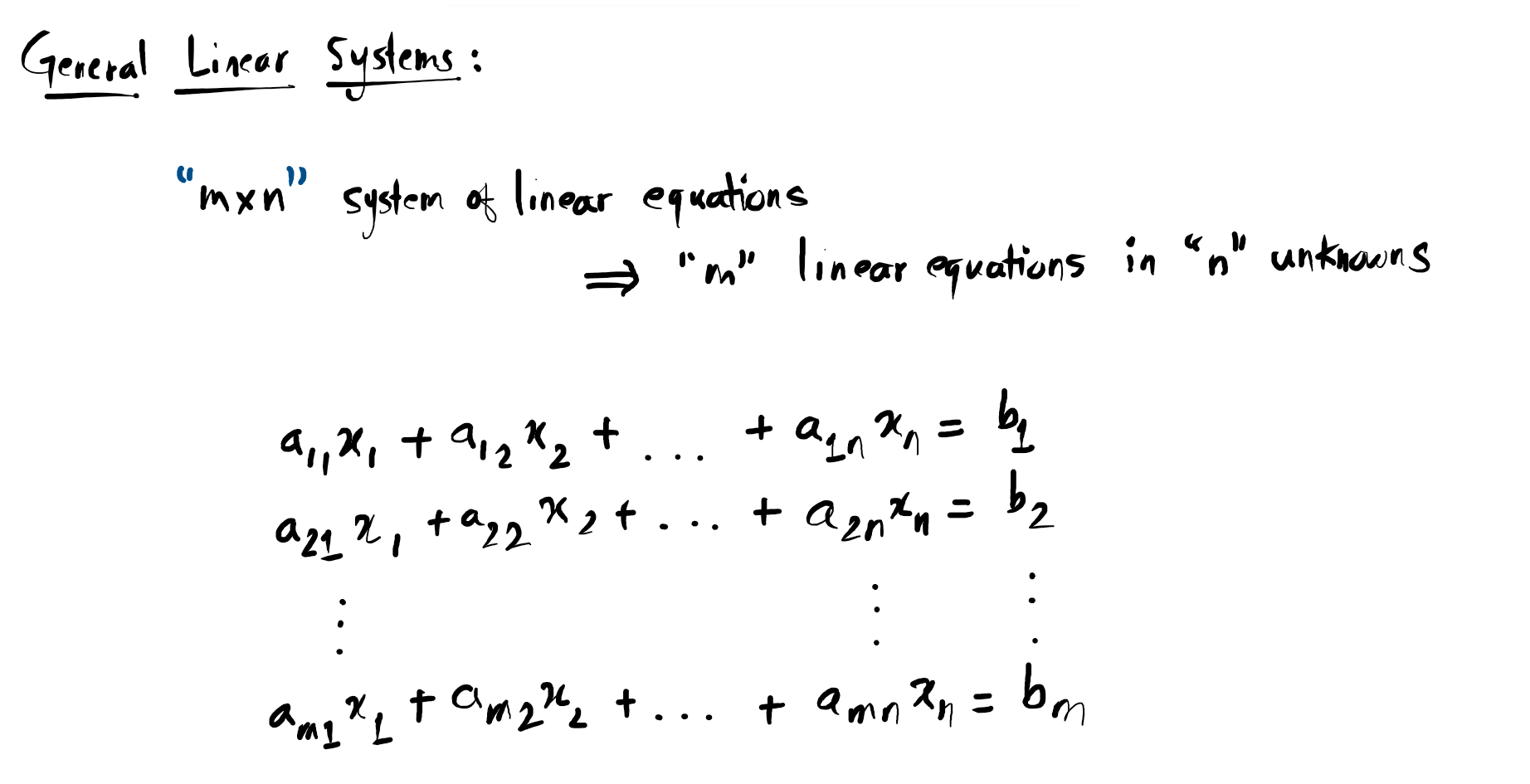
Linear Equations:

General Linear Systems:
A general linear system is simply a collection of one or more linear equations involving the same variables.
- There are m equations
- There are n unknown variables
- The numbers are called coefficients
- The numbers are called constants
This form represents ANY possible system of linear equations.

Matrix Representation: Instead of writing many equations, linear algebra rewrites a general linear system compactly using matrices:
Ax = b
Where b is the constant vector, A is the coefficient matrix and x is the vector of variables.

Elementary Operations: In linear algebra, Elementary Row Operations are simple moves you can perform on the rows of a matrix. They are the foundation of Gaussian Elimination, which is used to solve systems of linear equations, find matrix inverses, and calculate determinants.
The key rule is: These operations change the numbers in the matrix, but they do not change the solution to the system of equations.
There are exactly three types of elementary operations:
- Row Swapping $R_i \leftrightarrow R_j$
- Scaling a Row $R_i→kR_i(k \neq 0)$
- Row Replacement $R_i + k R_j \rightarrow R_i$
There are exactly three types of elementary operations:
1. Row Interchange (Swapping)
You can swap the positions of any two rows.
- Why use it? To move a non-zero number into a “pivot” position (usually the top-left) to make division easier later.
- Notation: $R_i \leftrightarrow R_j$
Example: Swap Row 1 and Row 2.

2. Scalar Multiplication (Scaling)
You can multiply (or divide) any row by a non-zero constant number (scalar).
- Why use it? To turn a leading number into a 1 (making it a “leading one”).
- Notation: $R_i→kR_i(k \neq 0)$
Example: Multiply Row 1 by 3.

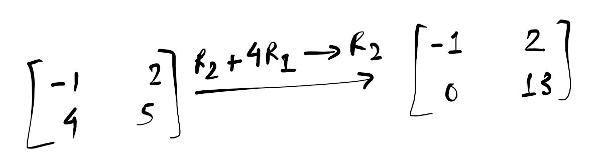
3. Row Addition (Pivoting)
You can add a multiple of one row to another row. (This is the most commonly used operation).
- Why use it? To create zeros below a pivot (canceling out variables) to reach Row Echelon Form.
- Notation: $R_i + k R_j \rightarrow R_i$ (Replace Row i with [Row i + (k times Row j)])
Example: We want to turn the 4 in the second row into a 0. We can use the −1 in the first row to do it. We add 4 times Row 1 to Row 2.

GAUSSIAN ELIMINATION (Variable Elimination Technique):
Gaussian Elimination is a systematic algorithm used to solve systems of linear equations. It works by applying the elementary row operations (swap, scale, add) to simplify a matrix until the solution becomes obvious.
The goal is to turn a messy system of equations into a clean triangular shape known as Row Echelon Form.
The Two Main Phases of Guassian Elimination:
- Forward Elimination:
- Goal: Create zeros below the main diagonal (bottom-left corner).
- Result: You get a “staircase” pattern of numbers. The last row usually tells you the value of the last variable immediately (e.g., z=3).
- Back Substitution:
- Goal: Work upwards from the bottom.
- Result: Since you know z, you plug it into the row above to find y, then plug both into the top row to find x.
Example: Solving a System
Let’s solve this system for $x,y,z$:
Step 1: Write the Augmented Matrix

Step 2: Elimination (Targeting Column 1) We want zeros below the first 1.
- Kill the 2: R2−2R1→R2
- Kill the -1: R3+R1→R3

Step 3: Elimination (Targeting Column 2) We need a zero below the 2 (in the middle).
- Kill the 6: R3−3R2→R3
New Matrix (Row Echelon Form):

Step 4: Back Substitution Now we convert the rows back into equations and solve from bottom to top.
