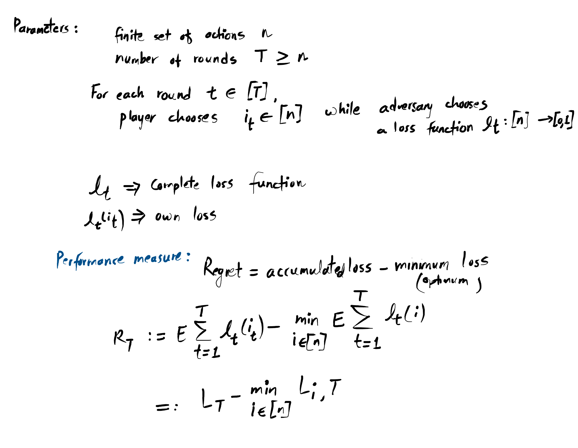
Regret Bound:
https://www.emergentmind.com/topics/cumulative-regret-analysis
http://sbubeck.com/LecturesALL_Bubeck.pdf
https://www.jmlr.org/papers/volume11/jaksch10a/jaksch10a.pdf
https://datascience.stackexchange.com/questions/62141/what-are-regret-bounds
https://arxiv.org/pdf/1403.5556
Lecture 1:
Introduction to regret analysis
S´ebastien Bubeck
Machine Learning and Optimization group, MSR AI

