Resource:
- Book Calculus by Thomas/Finney, 9th Edition, Page 467
The Exponential Function
Suppose we have a quantity \(y\), whose rate of change over time is proportional to the amount present. We can describe this relationship using a differential equation:
\[ \frac{dy}{dt} = ky \]
If we define the initial state where \(y = y_0\) at time \(t = 0\), the solution to this equation is the exponential growth/decay function:
\[ y = y_0 e^{kt} \]


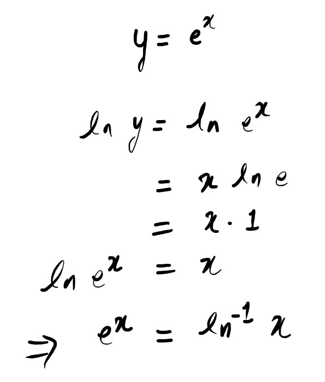
The Inverse of $ln x$ and the Number $e$

The Function $y=e^x$

Derivative and Integral of $e^x$

Solving the Initial Value Problem
Problem: Solve the differential equation \( e^y \frac{dy}{dx} = 2x \) given the initial condition \( y(2) = 0 \).
Step 1: Separate the Variables
Move all \( y \) terms to one side and all \( x \) terms to the other:
\[ e^y \, dy = 2x \, dx \]
Step 2: Integrate Both Sides
\[ \int e^y \, dy = \int 2x \, dx \]
\[ e^y = x^2 + C \]
Step 3: Solve for the Constant \( C \)
Apply the initial condition \( y(2) = 0 \). This means when \( x = 2 \), \( y = 0 \):
\[ e^0 = (2)^2 + C \]
\[ 1 = 4 + C \]
\[ C = -3 \]
Step 4: Solve for \( y \)
Substitute \( C \) back into the equation and use the natural logarithm to isolate \( y \):
\[ e^y = x^2 – 3 \]
\[ y = \ln(x^2 – 3) \]
Note on Domain: For the logarithm to be defined, \( x^2 – 3 > 0 \), which confirms the condition \( x > \sqrt{3} \).