Book calculus by Thomas/Finney, 9th Edition, Page 189
Derivatives can be used to analyze the behaviour of functions and solve practical optimization problems.
Max-Min Theorem relates to existence of max and min value for a function $f4$ that is continous at every point of closed interval I.

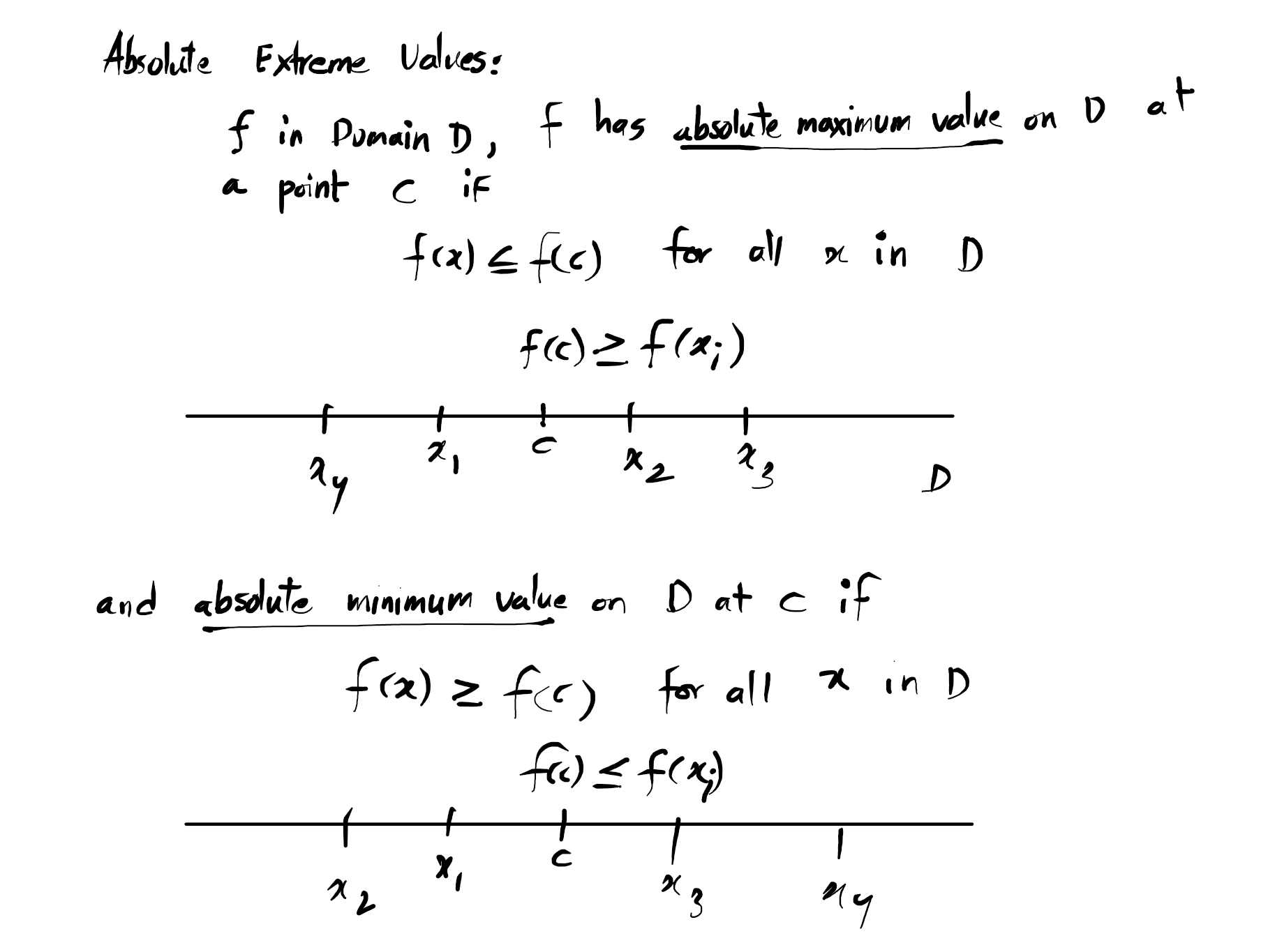
Absoluted maxima and minima on a closed interval [a,b]

Local vs Absolute (Global) Extrema.



Local Extreme values:

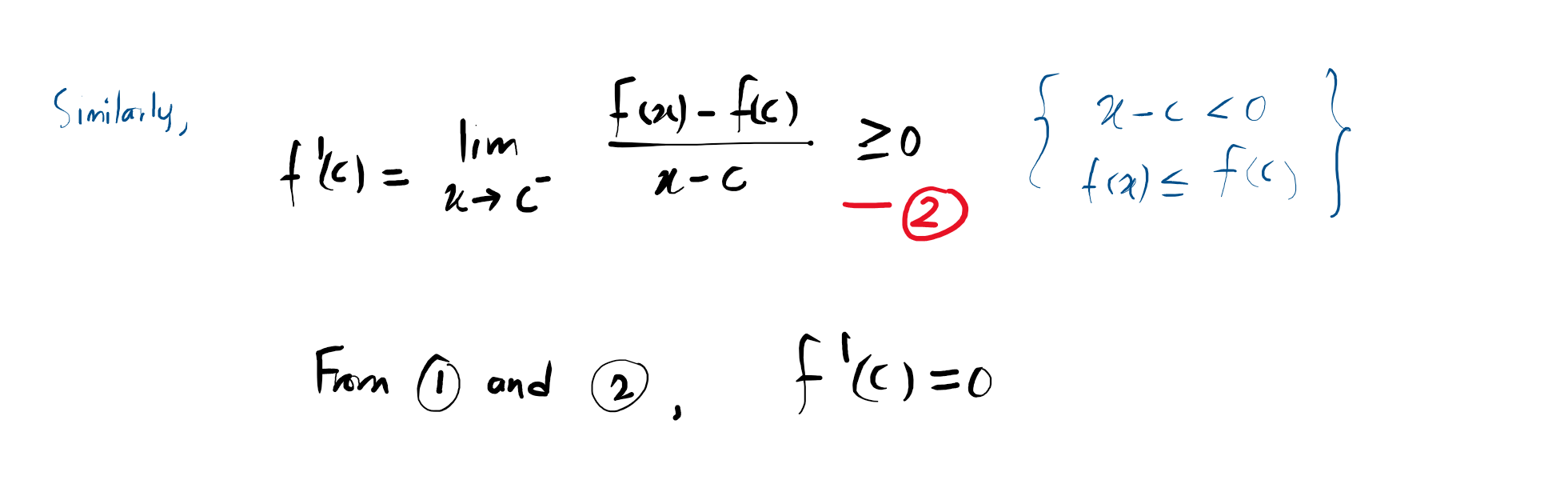
Finding Extrema


Mean Value Theorem

Rolle’s Theorem: specialized version of the Mean Value Theorem. It basically guarantees that if a smooth, continuous curve starts and ends at the same height, there must be at least one point in between where the curve “levels out” and has a horizontal tangent line.


The Mean Value Problem: One of the most important theoretical pillars of calculus. In simple terms, it states that for a smooth, continuous curve, there must be at least one point where the “instantaneous” slope (the derivative) is exactly equal to the “average” slope over a specific interval.

A Real-World Analogy: Speeding
Imagine you are driving on a highway.
- At 1:00 PM, you pass a camera at Mile 0.
- At 2:00 PM, you pass another camera at Mile 70.
- Your average speed was 70 mph.
The Mean Value Theorem says that at some exact moment between 1:00 and 2:00, your speedometer (instantaneous velocity) must have read exactly 70 mph, even if you sped up to 80 or slowed down to 50 at other times.

Physical Interpretation: Page 199

For more, book Calculus by Thomas/Finney, 9th Edition, Page 199
