Resources:
- Book Calculus by Thomas/Finney, 9th Edition, Page 449
What is Inverse Function in Calculus?
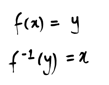
In calculus, an inverse function is a function that “undoes” the action of another function. If a function $f$ takes an input $x$ and gives an output y, its inverse $f^{−1}$ takes $y$ and brings you back to $x$.
Mathematically:
$f(x) = y \iff f^{-1}(y) = x$

1. The Horizontal Line Test
Not every function has an inverse. For an inverse to exist, the function must be one-to-one (injective).
- The Rule: A function has an inverse if and only if no horizontal line intersects its graph more than once.
- Example: $f(x)=x^3$ has an inverse. However, $f(x)=x^2$ does not have an inverse over its entire domain because both $x=2$ and $x=−2$ result in $y=4$.

2. Geometric Relationship
The graph of an inverse function is a reflection of the original function across the line $y=x$.
- If the point $(a,b)$ is on the graph of $f$, then the point $(b,a)$ is on the graph of $f^{−1}$.

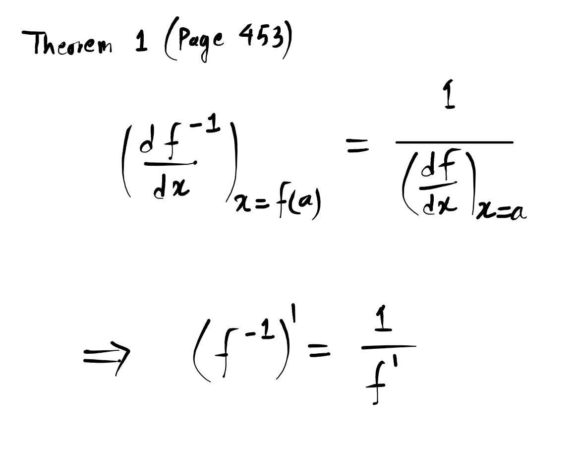
3. Calculus Properties: Derivatives of Inverses
One of the most powerful tools in calculus is finding the derivative of an inverse function without actually solving for the inverse itself.
If $g$ is the inverse of $f$, the derivative is given by:
$g′(x)= \frac{1}{f′(g(x))}$
This formula is essential when dealing with transcendental functions, such as finding the derivative of $arcsin(x)$ or $ln(x)$.

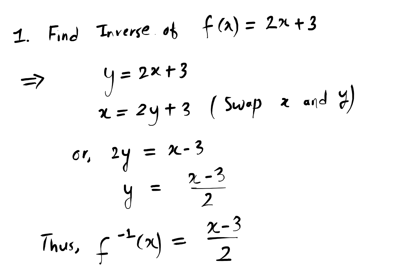
Example problem:
- Find the inverse of $f(x) = 2x + 3$.

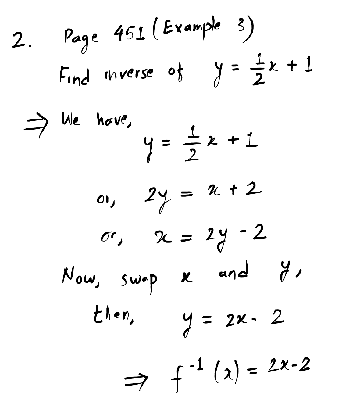
Another example: Page 451, Example 3.
2. Find the inverse of $y=\frac{1}{2}x + 1$.
