Books References:
- Quantum Computation and Quantum Information by Nielsen et. al
- Exploration in Quantum Computing by Colin P. Williams
In an idea set up, we assume that logical qubits evolves unitarily following Schrodinger’s equation from the moment quantum comptuer is prepared, go through some computations and measured. However, during this process, real quantum system couples with its environment causing information leak out of logical state of the qubits in the quantum memory register. Even with our best efforts, to isolate quantum memory register, it is difficult.

Noise occurs in any information processing systems. There is two options when we build systems:
- Either to Avoid the noise
- If not possible to avoid then to

Simple example of protecting bits from noise: Let’s suppose we are transmitting bits through a classical channel. Due to noise, sometimes, the bits are flipped from 0 to 1. In that case, we can send multiple multiple bits i.e. 000 instead of only 0. At the receiving end, if the measurement is 001, we can conclude that the bit transferred was 0 and the last bit in 001 was flipped due to noise from 0 to 1.

Different kinds of Errors:
- Dissipation-Induced Bit Flip Errors
- Decoherence-Induced Phase Shift Errors
- Natural Decoherence Times of Physical Systems
Dissipation-Induced: Qubit losses energy; May transition from state $|1 \rangle$ to $|0 \rangle$.

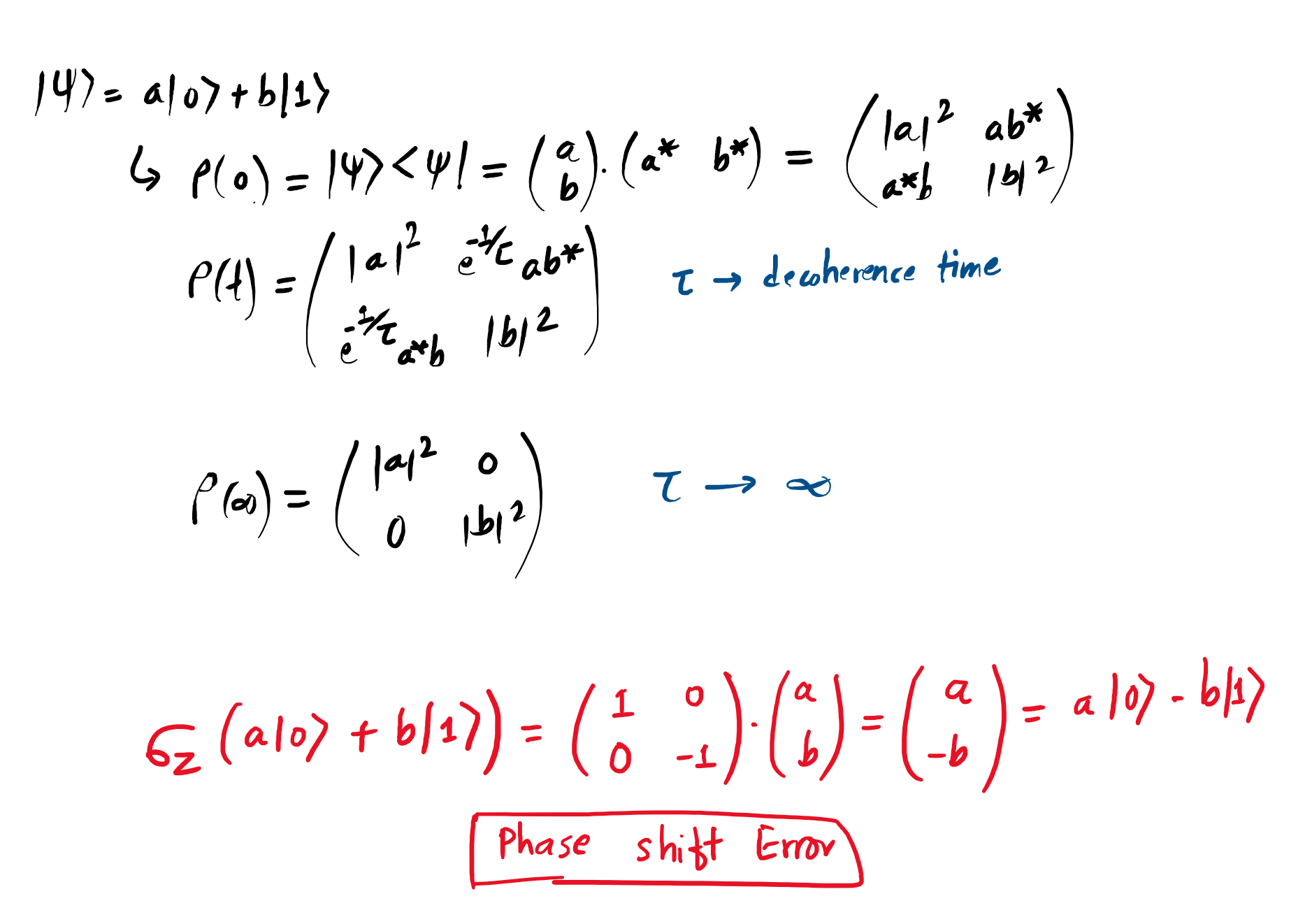
Decoherence-Induced: Quantum memory register and the environment become entangled with each other due to interaction between qubits and enviroment.


Natural Decoherence Times of Physical Systems: Decoherence occurs usually faster than dissipation and it is dependent of various factors like what the quantum sytem is made of, size of quantum register, temperature of thermal environment and rate of collisions with ambient gas modules.
