References:
- Book Calculus by Thomas/Finney, 9th Edition, Page 365
- Application of Integral Chapter 8 https://ocw.mit.edu/ans7870/textbooks/Strang/Edited/Calculus/8.pdf
- https://ncert.nic.in/textbook/pdf/lemh202.pdf
- https://tutorial.math.lamar.edu/classes/calci/intappsintro.aspx
Integrals can be used to calculate many things such as area between curves, volumes and surfaces of solids, length of curves etc.

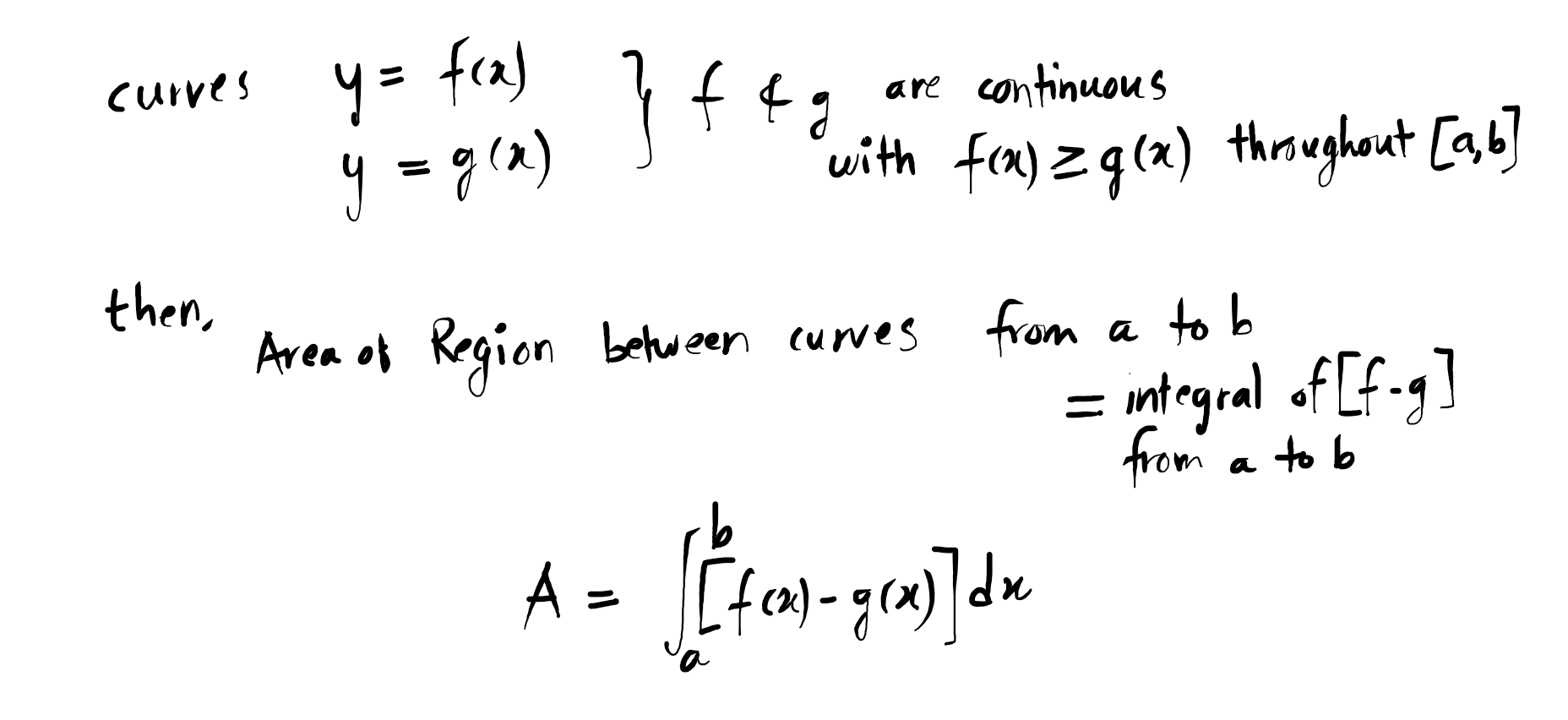
Areas between Curves:
In calculus, we define the exact area under a curve not by measuring it directly, but by slicing it into rectangles, adding them up, and then making the slices infinitely thin.

Now, above approximation (Riemann Sum) 3, to make it exact, we need the rectangles to be infinitely thin that is by letting number of rectangles approach infiity.

Definition:

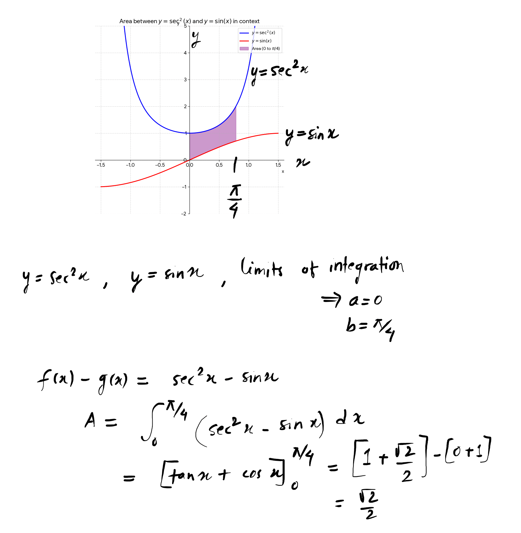
Example:
The area $A$ between the curves $y = \sec^2(x)$ and $y = \sin(x)$ from $x=0$ to $x=\frac{\pi}{4}$ is given by:
$A = \int_{0}^{\frac{\pi}{4}} (\sec^2 x – \sin x) \, dx$
$= \left[ \tan x + \cos x \right]_{0}^{\frac{\pi}{4}}$
$= \left( 1 + \frac{\sqrt{2}}{2} \right) – (1)$
$= \frac{\sqrt{2}}{2}$
