Book Calculus by Thomas/Finney, 9th Edition, Page 109
Derivates is one of the most important concept in calculus. It measures the rate at which a function changes. It is defined actually as the limit of secant slopes which is the slope of curve at a point.
Derivative of the funtion $f$ with respect to variable $x$ is given by function $f’$ as,

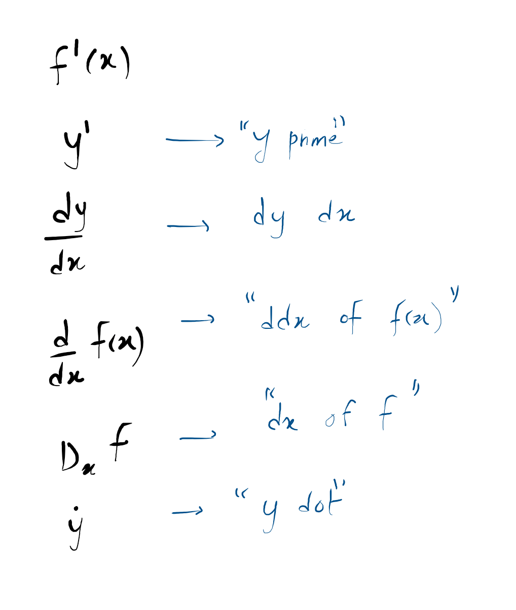
Derivative of a function can be denoted in various ways.

The steps involved in calculating derivatives is called Differentiation.

Example derivate of $f(x) = \frac{x}{x-1}$,

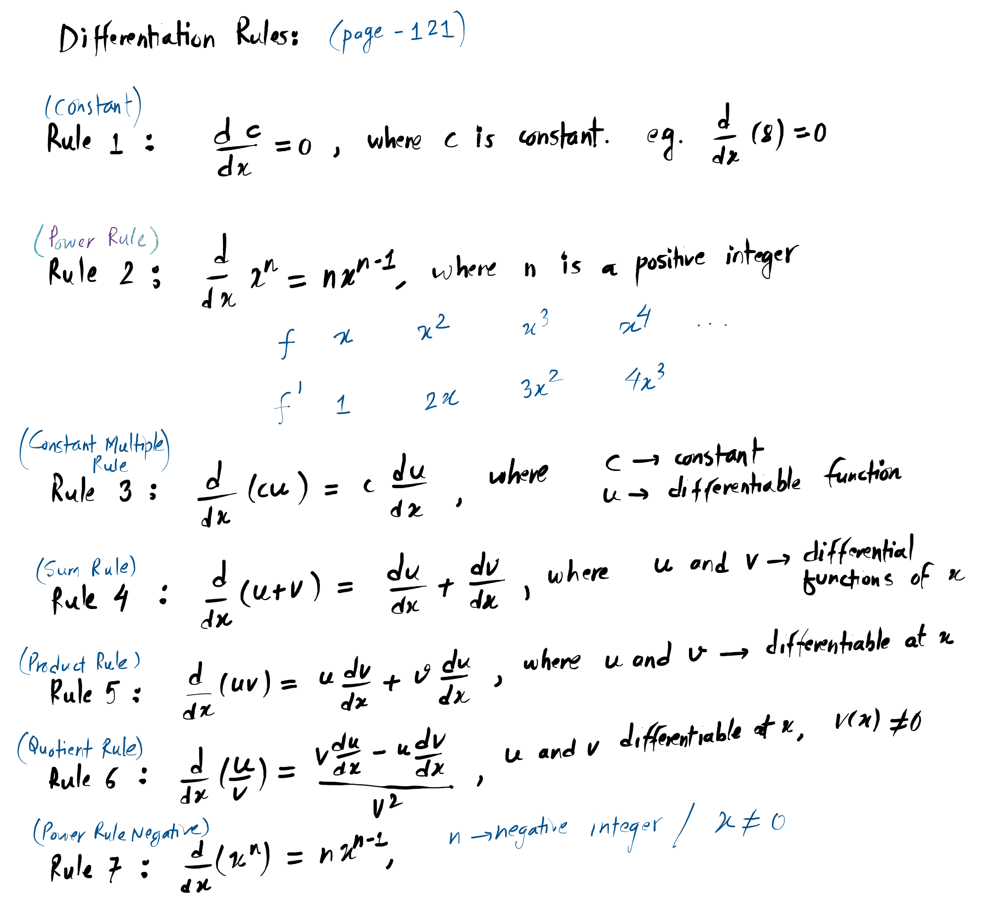
Differentiation rules.

Second and Higher Order Derivatives.

Rates of Change – rates at which things change in the real world (page 131)

For more Book Calculus by Thomas/Finney, 9th Edition, Page 109-187