Book Calculus by Thomas/Finney, 9th Edition; Page 51
Limit: One of the main concept that differentiates calculus with algebra and trigonometry (page 51). Core concepts: limit, limits to describe how different functions changes or varies (continuously or erratically), how limits can be used to define tangent lines to the graph of the functions, derivative of function etc.

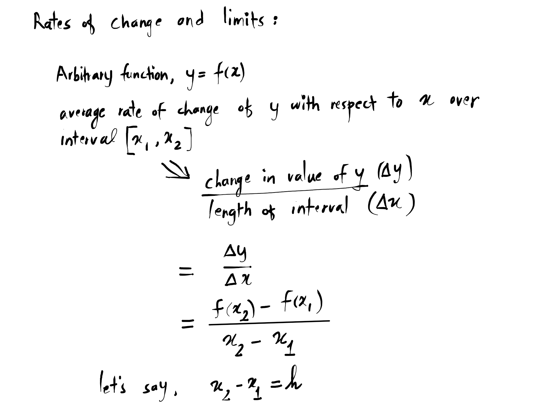
Average rate of change of a function $y=f(x)$, with respect to $x$ over the interval $[x_1, x_2]$ is calculated by dividing change in value of $y$ with the length of the interval $x_2 – x_1$.


Informal and formal definition of limit:

Simple example (Page – 71).



For more, Calculus book by Thoman/Finney, 9th Edition (pages 51 – 71)
Continuity at a point (page 87)
Continuity at a point means the function is continuous and there is not glitch in the graph at some specific point in layman’s term.

Continuity Test: Continuous function should meet 3 requirements.

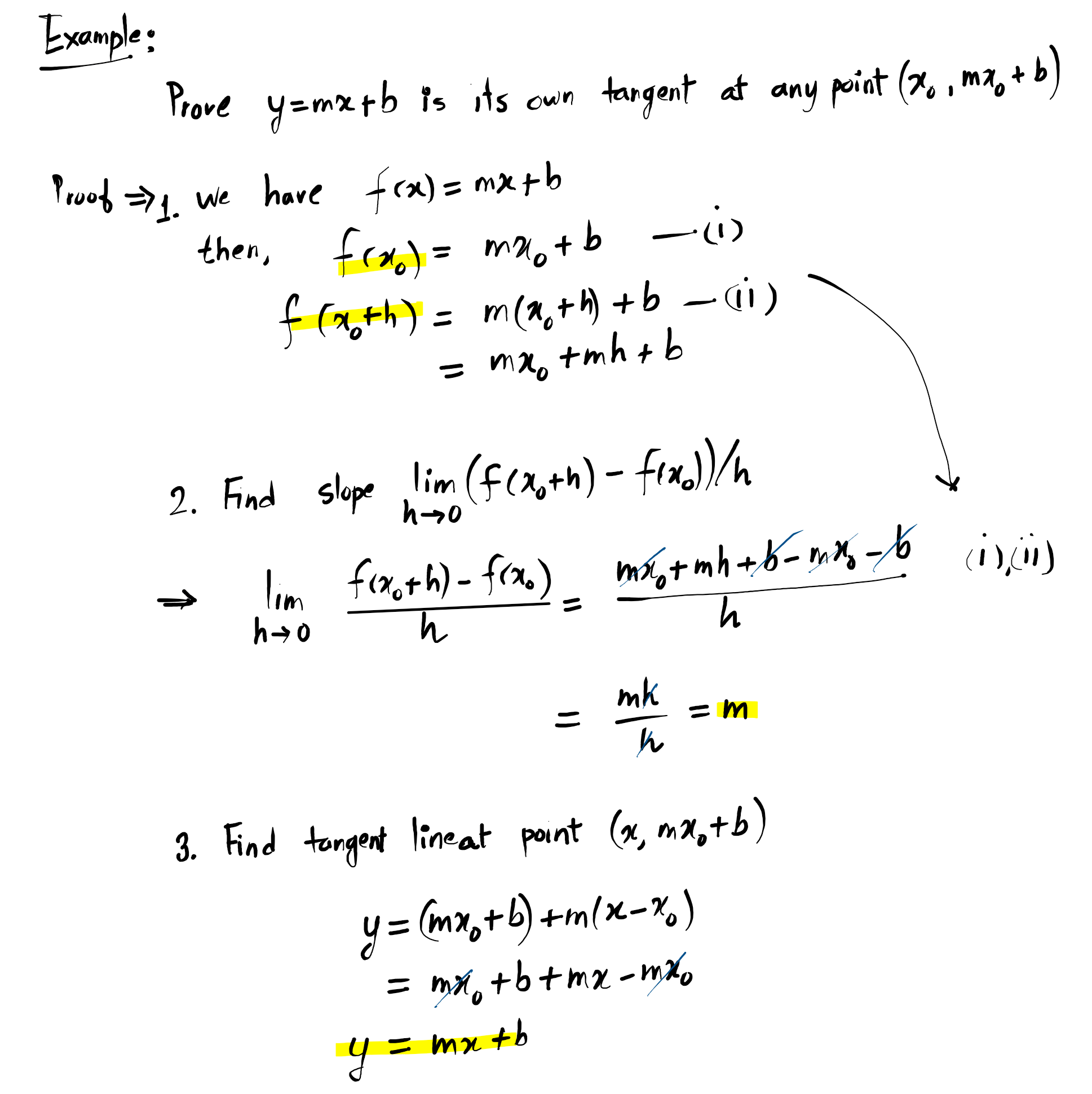
Tangent Line: (p-97)

How to find a tangent line?

Example:

For more, book Calculus by Thomas/Finney, 9th Edition, Page (51-107)