Book Calculus by Thomas/Finney, 9th Edition, Page 248
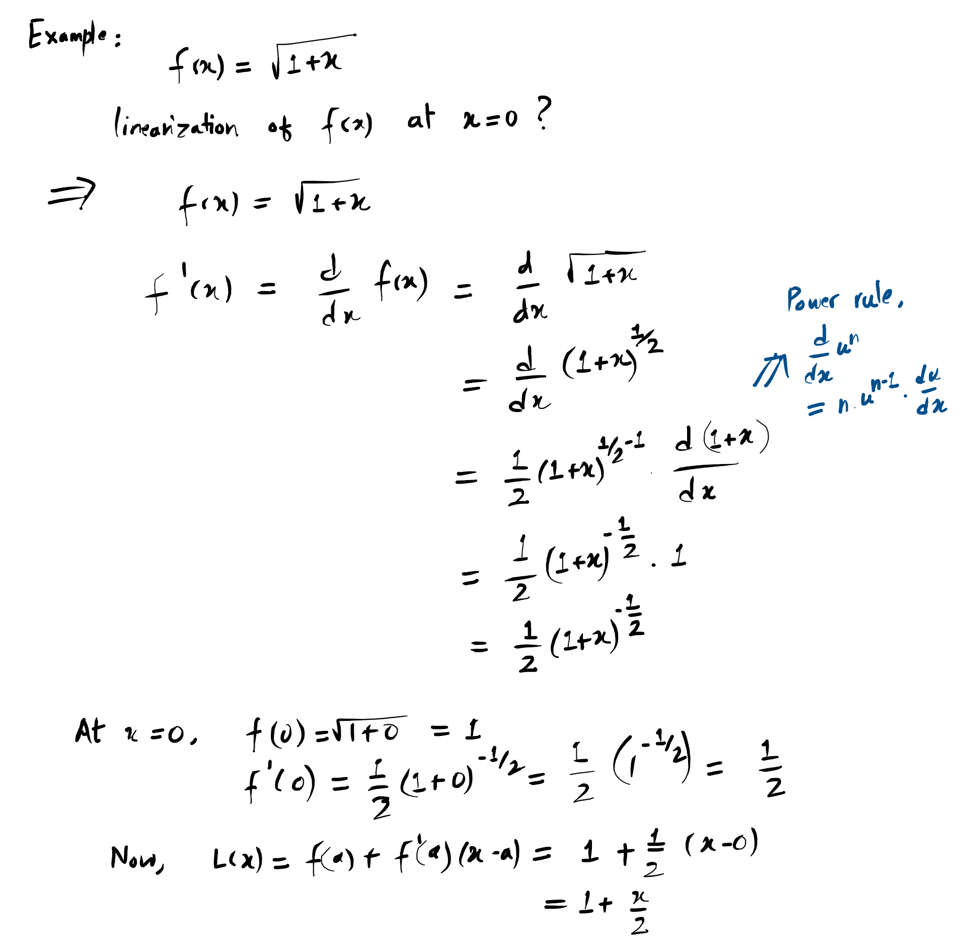
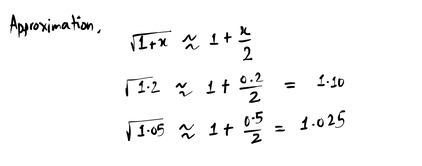
Linearization: Approximating functions



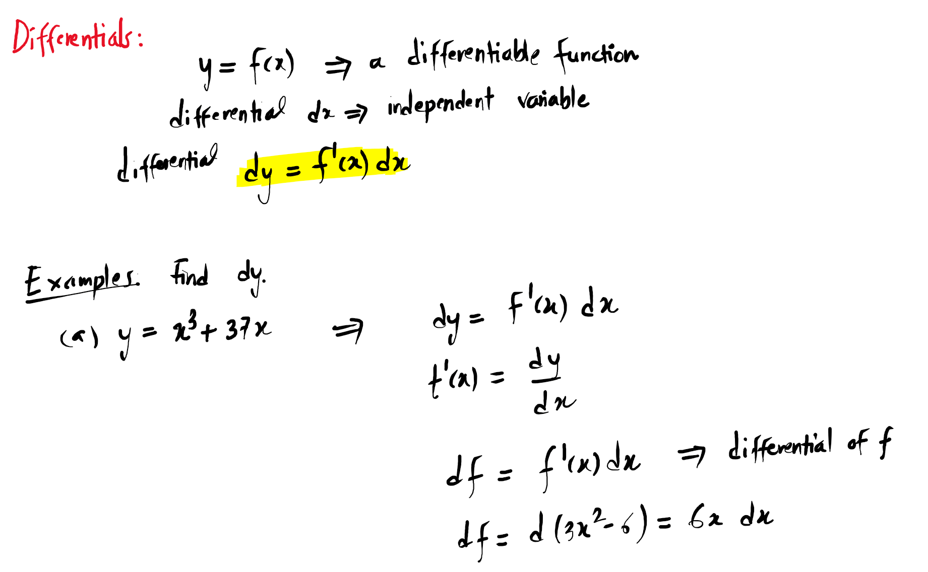
Differentials


Differential Estimate of Change:
In calculus, estimating change with differentials is a method from calculus used to approximate how much a function’s output changes when the input changes by a small amount. Instead of calculating the exact change (which can be difficult and messy), we use derivative to find the “easy” approximate change.
The core concept: Imagine we have curve. If we zoom in very close to a specific point, the curve looks like a straight line (which is a tangent line). Thus,
- Actual Change (Δy): The true difference in height on the curve between two points.
- Differential (dy): The difference in height on the tangent line.
To estimate the change in $y$, you use the derivative $f′(x)$ as a multiplier for the change in $x$.
$dy=f′(x)⋅dx$
- $dy$ = The estimated change in y (the differential).
- $f′(x)$ = The derivative (slope of the tangent line) at the starting point.
- $dx$ = The change in x (often written as Δx).



Absolute, relative and percentage change in $f$

Error in Estimation:

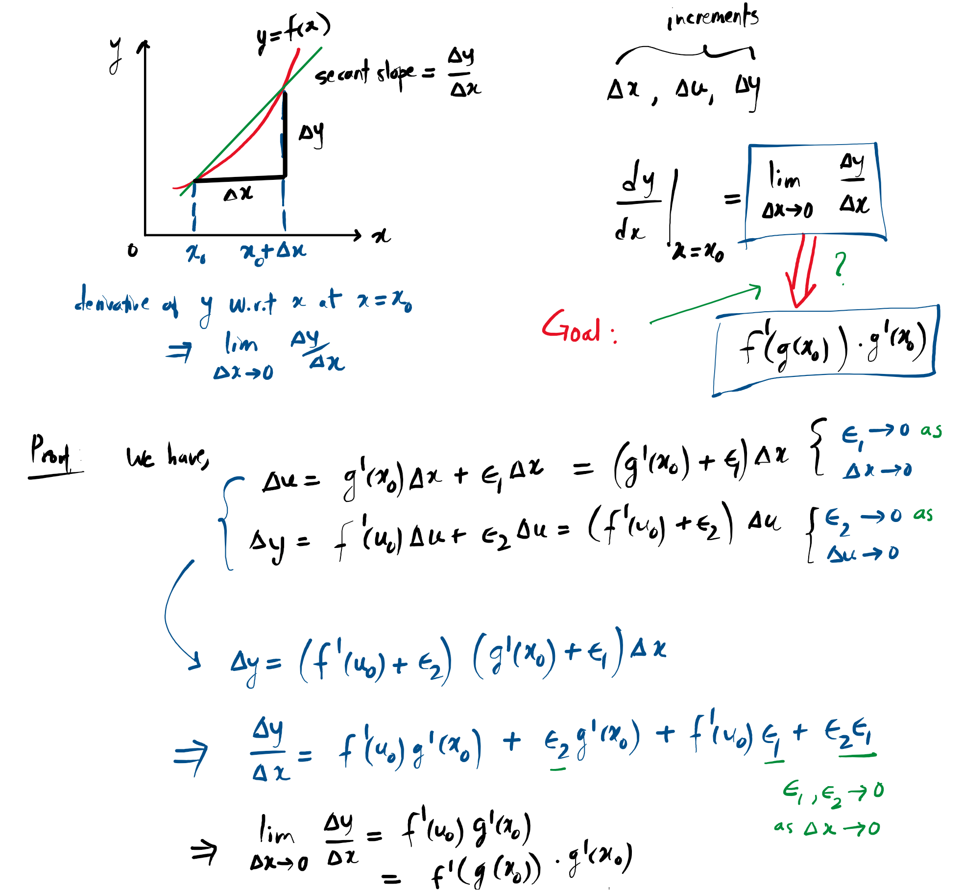
Proof of Chaine Rule.

Proof is at Page – 256.
