Book Calculus by Thomas/Finney, 9th Edition, Page 233
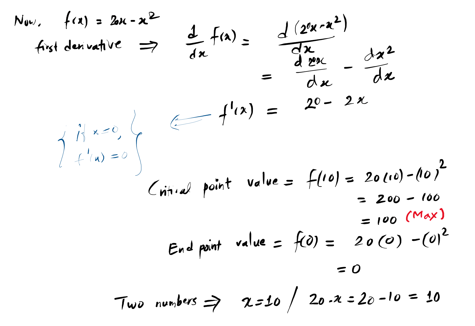
Example problem: Find 2 positive numbers whose sum is 20 and their product is as large as possible.


Book Calculus by Thomas/Finney, 9th Edition, Page 233
Example problem: Find 2 positive numbers whose sum is 20 and their product is as large as possible.

