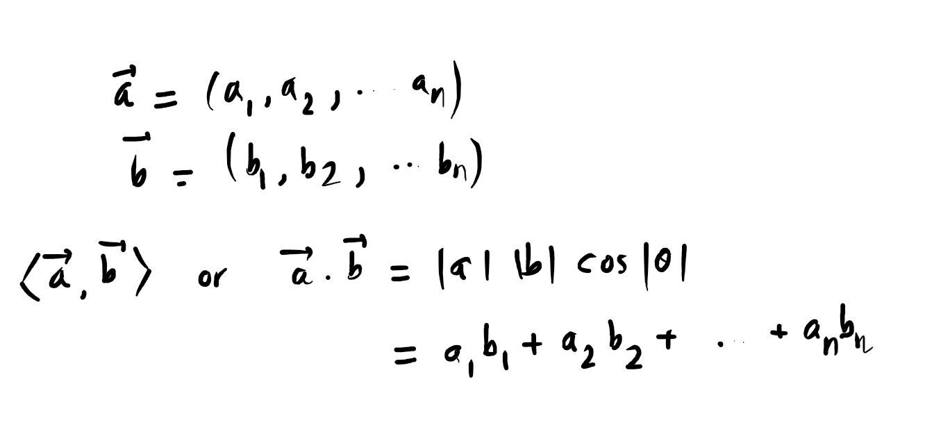
In linear algebra, the dot product (or inner product) is specifically used for vectors. It takes two vectors of the same dimension and results in a single scalar value (a number).

1. Geometric Definition
Geometrically, the dot product measures the overlap or projection of one vector onto another.
a · b = ||a|| ||b|| cos(θ)
- ||a|| and ||b||: The magnitudes (lengths) of the vectors.
- cos(θ): The cosine of the angle between them.
2. Algebraic Definition
If you know the components of the vectors, the dot product is the sum of the products of those components. For two n-dimensional vectors:
a · b = a1b1 + a2b2 + … + anbn = ∑i=1n aibi
3. Key Properties for Your Blog
| Vector Relationship | Angle (θ) | Dot Product Result |
|---|---|---|
| Same Direction | 0° | Positive (Maximum) |
| Perpendicular | 90° | Zero (Orthogonal) |
| Opposite Direction | 180° | Negative (Minimum) |
Resources:
- datahacker.rs, “#006 Linear Algebra – Inner or Dot Product of two Vectors,” Master Data Science, Apr. 06, 2020. https://datahacker.rs/dot-product-inner-product/ (accessed Mar. 04, 2026).
- Video https://quantum.cloud.ibm.com/learning/en/courses/quantum-machine-learning/classical-ml-review